
The existing text-based geom layers in ggplot2
(geom_text and geom_label) are ideal for the
majority of plots, since typically textual annotations are short,
straight and in line with the axes. However, there are some occasions
when it is useful to have text follow a curved path. This may be to
create or recreate a specific visual effect, or it may be to label a
circular / polar plot in a more “natural” way. Direct and automatic text
labels that adhere to their associated line can also provide a neat
alternative to legends, without the need for specifying exact label
positions, and with a lower risk of overplotting.
Using geomtextpath, your text can follow any path, and will remain correctly spaced and angled, even if you change the size and aspect ratio of your plotting device. It does so without the need to redraw your plot each time, as shown in the introduction vignette.
You can install geomtextpath from CRAN using
install.packages("geomtextpath")Alternatively, you can install the latest development version of geomtextpath from GitHub with:
remotes::install_github("AllanCameron/geomtextpath", quiet = TRUE)Once installed, we simply call:
library(geomtextpath)
#> Loading required package: ggplot2The core functions in this package, geom_textpath and
geom_labelpath, work like any other geom in
ggplot2. They take their x co-ordinates, their y
co-ordinates and their text label from an aesthetic mapping. At its most
basic, this allows the label to be plotted on an arbitrary
path, as shown in the following example:
# Set a consistent theme for the plots here
theme_set(theme_minimal() +
theme(axis.line = element_line(linewidth = 0.25, colour = "gray75")))
t <- seq(5, -1, length.out = 1000) * pi
spiral <- data.frame(x = sin(t) * 1:1000,
y = cos(t) * 1:1000,
text = paste("Like a circle in a spiral,",
"like a wheel within a wheel,",
"never ending or beginning,",
"on an ever spinning reel")
)
ggplot(spiral, aes(x, y, label = text)) +
geom_textpath(size = 7, vjust = 2, text_only = TRUE) +
coord_equal(xlim = c(-1500, 1500), ylim = c(-1500, 1500))
If we want our text in a box, even when the text is curved, we can
use geom_labelpath instead:
set.seed(5)
x <- runif(5)
y <- runif(5)
df <- data.frame(x = spline(1:5, x, xout = seq(1, 5, 1/100))$y,
y = spline(1:5, y, runif(5), xout = seq(1, 5, 1/100))$y,
z = "A curved textbox on an arbitrary path")
ggplot(df, aes(x, y, label = z)) +
geom_labelpath(size = 5, fill = "#F6F6FF", hjust = 0.55) +
geom_point(data = data.frame(x = x, y = y, z = 1))
Of course, the point of this package is not to produce such graphical
novelties, but to provide an easy and visually appealing way to present
your data. Just as geom_path is the foundation for several
other geoms in ggplot2, so too are
geom_textpath and geom_labelpath the
foundation of the other geoms in this package. The line-based geoms in
ggplot all have two equivalents in this package:
| ggplot geom | Text equivalent | Label equivalent |
|---|---|---|
geom_path |
geom_textpath |
geom_labelpath |
geom_segment |
geom_textsegment |
geom_labelsegment |
geom_line |
geom_textline |
geom_labelline |
geom_abline |
geom_textabline |
geom_labelabline |
geom_hline |
geom_texthline |
geom_labelhline |
geom_vline |
geom_textvline |
geom_labelvline |
geom_curve |
geom_textcurve |
geom_labelcurve |
geom_density |
geom_textdensity |
geom_labeldensity |
geom_smooth |
geom_textsmooth |
geom_labelsmooth |
geom_contour |
geom_textcontour |
geom_labelcontour |
geom_density2d |
geom_textdensity2d |
geom_labeldensity2d |
geom_sf |
geom_textsf |
geom_labelsf |
Each of these aims to replicate all the functionality of the
equivalent ggplot2 function, but with direct text labels
that follow the shape of the lines drawn.
For the special case of geom_sf, which draws different
shapes based on the geometry objects drawn, the equivalent
geom_textsf and geom_labelsf, will identify
and label the linestring components (typically rivers and roads),
without attempting to label polygons.
geom_textline and
geom_labellineYou can use geom_textline and
geom_labelline as a drop in for geom_line if
you want it directly labelled. Just pass the label you want
as an argument to geom_textline (or if you have grouped
data, you can pass the label as an aesthetic mapping). As in the other
geoms here, you can specify the line’s appearance and the text’s
appearance separately.
ggplot(pressure, aes(temperature, pressure)) +
geom_textline(label = "Mercury vapor pressure", size = 6, vjust = -0.5,
linewidth = 1, linecolor = "red4", linetype = 2,
color = "deepskyblue4")
geom_textdensity
and geom_labeldensityThese are the analogues of geom_density that allows for
smoothly curved labels on density plots
ggplot(iris, aes(x = Sepal.Length, colour = Species, label = Species)) +
geom_textdensity(size = 6, fontface = 2, hjust = 0.2, vjust = 0.3) +
theme(legend.position = "none")
Note that we have been able to “reclaim” the space normally taken up by the legend without leaving any ambiguity in the plot.
geom_textsmooth
and geom_labelsmoothWe can use these geoms to get labelled trend lines through scatterplots:
ggplot(iris, aes(x = Sepal.Length, y = Petal.Length, color = Species)) +
geom_point(alpha = 0.3) +
geom_labelsmooth(aes(label = Species), text_smoothing = 30, fill = "#F6F6FF",
method = "loess", formula = y ~ x,
size = 4, linewidth = 1, boxlinewidth = 0.3) +
scale_colour_manual(values = c("forestgreen", "deepskyblue4", "tomato4")) +
theme(legend.position = "none")
Note that by design, we have not included the standard error ribbon
in these geoms because the naming of the fill aesthetic
would clash with the fill of the text boxes. If necessary, a standard
geom_smooth can be drawn first to obtain the ribbon.
Adding labels to the level of your contour lines is now as simple as
calling geom_textcontour or geom_labelcontour
instead of geom_contour:
df <- expand.grid(x = seq(nrow(volcano)), y = seq(ncol(volcano)))
df$z <- as.vector(volcano)
ggplot(df, aes(x, y, z = z)) +
geom_contour_filled(bins = 6, alpha = 0.6) +
geom_textcontour(bins = 6, size = 2.5, straight = TRUE) +
scale_fill_manual(values = terrain.colors(11)) +
theme(legend.position = "none")
We also have geom_textdensity2d and
geom_labeldensity2d for the common use case of 2D density
contours:
set.seed(1)
df <- data.frame(x = rnorm(100), y = rnorm(100))
ggplot(df, aes(x, y)) +
geom_textdensity2d()
geom_textsf and
geom_labelsfThese geoms behave much the same way as geom_sf, except
linestrings such as rivers and roads can be given (curved) text
labels:
library(sf)
#> Linking to GEOS 3.11.0, GDAL 3.5.3, PROJ 9.1.0; sf_use_s2() is TRUE
df <- data.frame(x = c(-4.2518, -3.1883),
y = c(55.8642, 55.9533),
label = c("Glasgow", "Edinburgh"))
ggplot(data = df) +
geom_textsf(data = waterways,
aes(label = name), text_smoothing = 65, linecolour = "#8888B3",
color = "gray30", vjust = -0.8, fill = "#E6F0B3",
alpha = 0.8, fontface = 3, size = 3) +
geom_point(aes(x, y), data = df, color = "gray50", size = 3) +
geom_textpath(aes(x, y, label = label), color = "gray50",
hjust = c(-0.2, 1.2)) +
theme(panel.grid = element_line()) +
lims(x = c(-4.7, -3), y = c(55.62, 56.25))
Often, a reference line added to a plot requires a text annotation.
We can do this directly with geom_textabline,
geom_textvline and geom_texthline, or their
text-box equivalents geom_labelabline,
geom_labelvline and geom_labelhline. Although
such lines aren’t curved, there are some benefits to using the
geomtextpath functions if a labelled reference line is
required: only a single call is needed, co-ordinates are not required
for the text label, the text can be put in-line with an appropriate
break in the line automatically, and the label will orientate and curve
appropriately in polar co-ordinates.
This example shows all three text-based reference line geoms:
ggplot(mtcars, aes(mpg, disp)) +
geom_point() +
geom_texthline(yintercept = 200, label = "displacement threshold",
hjust = 0.8, color = "red4") +
geom_textvline(xintercept = 20, label = "consumption threshold", hjust = 0.8,
linetype = 2, vjust = 1.3, color = "blue4") +
geom_textabline(slope = 15, intercept = -100, label = "partition line",
color = "green4", hjust = 0.6, vjust = -0.2)
#> Warning in geom_texthline(yintercept = 200, label = "displacement threshold", : All aesthetics have length 1, but the data has 32 rows.
#> ℹ Please consider using `annotate()` or provide this layer with data containing
#> a single row.
#> Warning in geom_textvline(xintercept = 20, label = "consumption threshold", : All aesthetics have length 1, but the data has 32 rows.
#> ℹ Please consider using `annotate()` or provide this layer with data containing
#> a single row.
In addition to the straight reference lines, there is also a pair of
geom layers for curved reference lines: geom_textcurve and
geom_labelcurve. These are typically used for
annotations.
df <- data.frame(Activity = c("Work", "Play"), Happiness = c(0.5, 0.7))
ggplot(df, aes(Activity, Happiness)) +
geom_col(fill = "gold", color = "gray50") +
geom_textcurve(data = data.frame(x = 1, xend = 2, y = 0.72, yend = 0.52),
aes(x, y, xend = xend, yend = yend), hjust = 0.35, ncp = 20,
curvature = -0.8, label = "significant difference") +
geom_point(aes(y = Happiness + 0.02)) +
scale_y_continuous(limits = c(0, 1))
stat
transformationsOther “stat” transformations can be used directly on
geom_textpath and geom_labelpath. For example,
functions can be labelled with paths created in
stat_function:
ggplot() +
xlim(c(0, 1)) +
stat_function(geom = "textpath",
fun = dgamma, color = "red4",
label = "gamma distribution with shape = 1",
size = 5, vjust = -0.2, hjust = 0.1, args = list(shape = 1)) +
stat_function(geom = "textpath",
fun = dgamma, color = "blue4",
label = "gamma distribution with shape = 2",
size = 5, vjust = -0.2, hjust = 0.1, args = list(shape = 2)) +
stat_function(geom = "textpath",
fun = dgamma, color = "green4",
label = "gamma distribution with shape = 3",
size = 5, vjust = -0.2, hjust = 0.1, args = list(shape = 3))
Just like geom_text, the vjust parameter
controls vertical justification of the text, though in
geom_textpath and its related geoms, the text is justified
relative to the path rather than a single point. If the
vjust parameter moves the text above or below the line, the
line is automatically “filled in”.
For short text labels applied to long paths, we need a parameter to
control how far along the path the text is placed. For this we use the
horizontal justification (hjust) parameter. This can be
numeric (0 to 1), or can accept position descriptions such as “xmid”,
“ymax”, or “auto”.
Here is an example of text justified above the line of the path using
a small negative value of vjust, and the hjust
set to “ymax” to place the labels over the peak of each curve:
p <- ggplot(iris, aes(x = Sepal.Length, colour = Species, label = Species)) +
theme(legend.position = "none")
p +
geom_textdensity(size = 6, fontface = 2, spacing = 50,
vjust = -0.2, hjust = "ymax") +
ylim(c(0, 1.3))
You can read more about text positioning in the aesthetics vignette.
Some lines may be too “noisy” or too angular for direct labels to
remain legible if they adhere too closely to the line. We have therefore
added the ability to smooth the text label while keeping the path
unaltered, using a text_smoothing parameter, which can be
set from 0 (none) to 100 (maximum).
ggplot(economics, aes(date, unemploy)) +
geom_textline(linecolour = "grey", size = 4, vjust = -1.5,
label = "1990s Decline", text_smoothing = 30)
Plotmath supportIf you want to use plotmath expressions you can do so much as you
would with geom_text. Just tell geom_textpath
that your labels should be parsed using parse = TRUE
lab <- expression(paste("y = ", frac(1, sigma*sqrt(2*pi)), " ",
plain(e)^{frac(-(x-mu)^2, 2*sigma^2)}))
df <- data.frame(x = seq(-2, 0, len = 100),
y = dnorm(seq(-2, 0, len = 100)),
z = as.character(lab))
ggplot(df, aes(x, y)) +
geom_textpath(aes(label = z), vjust = -0.2, hjust = 0.1, size = 8, parse = TRUE)
Note that, due to the way the grid package draws
plotmath expressions, all plotmath labels will be straight rather than
curved. However, as in the example above, they will still be angled
according to the gradient of the curve.
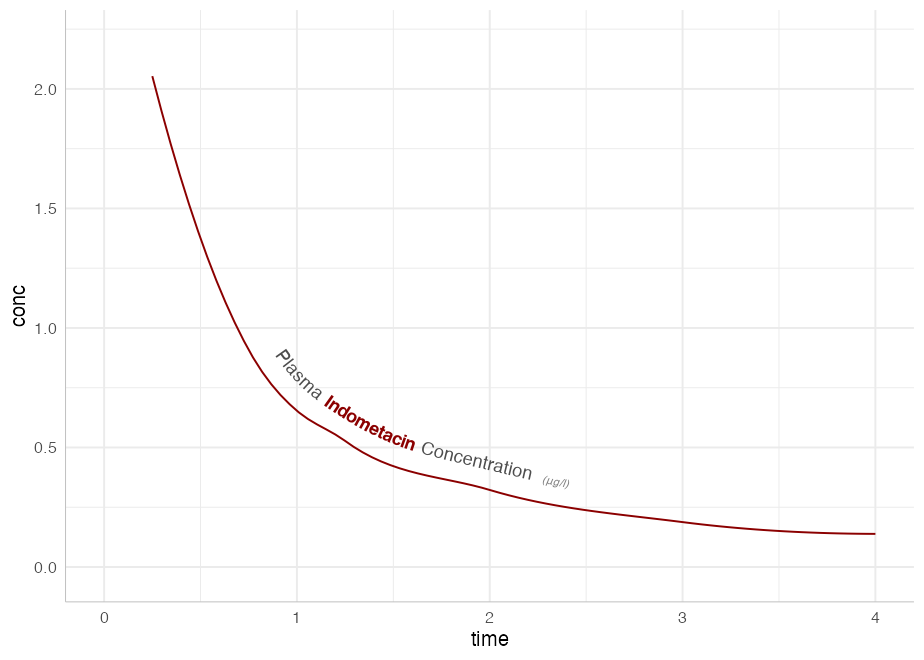
The geoms here also feature richtext support. If you want your text
labels to be interpreted as rich text, simply pass
rich = TRUE as a parameter in the call to the geom
layer
lab <- paste("<span style='color:gray30;font-size:10pt'>Plasma</span>",
"<strong style='color:red4;font-size:10pt'>Indometacin</strong>",
"<span style ='color:gray30;font-size:10pt'>Concentration </span>",
"<i style='color:gray50;font-size:8pt'><sub>(\u03BCg/l)</sub></i>")
ggplot(Indometh, aes(time, conc, group = 1)) +
geom_textsmooth(formula = y ~ x, method = loess,
label = lab, rich = TRUE, vjust = -0.5, size = 4.5,
text_smoothing = 40, linecolor = "red4") +
xlim(c(0, 4))
#> Warning: Removed 18 rows containing non-finite outside the scale range
#> (`stat_smooth()`).
Straight text paths in Cartesian coordinates become curved in polar coordinates.
df <- data.frame(x = c(1, 1000), y = 1, text = "This is a perfectly flat label")
p <- ggplot(df, aes(x, y, label = text)) +
geom_labelpath(size = 6, text_only = TRUE, fill = "#F6F6FF") +
ylim(c(0.9, 1.1))
p
p + coord_polar()
We have included the ability to have point-like text paths.
While this sounds paradoxical, it means that geom_textpath
can be used as a drop-in for geom_text, and will behave in
much the same way, with the exception that the text will automatically
curve in polar co-ordinates. Compare geom_textpath used in
Cartesian co-ordinates:
df <- data.frame(x = 1:4, y = c(4, 7, 6, 3),
color = c("royalblue", "orangered", "deepskyblue4", "violet"))
p <- ggplot(df, aes(x, y, color = color, label = color)) +
geom_point(size = 1.5) +
geom_textpath(size = 8, hjust = -0.1) +
scale_color_identity() +
lims(x = c(0, 6), y = c(0, 8))
p
And in polar co-ordinates:
p + coord_polar()
By default, any labels that would have been upside down (or even
mostly upside down) are automatically flipped to be facing in a legible
direction. This can be turned off using upright = FALSE in
the call to geom_textpath.
We can even construct diagrams or infographics:
p <- data.frame(x1 = c(seq(0, 10/6 * pi, pi/3),
seq(0, 10/6 * pi, 2*pi/3)),
y1 = c(rep(2, 6), rep(-1, 3)),
x2 = c(seq(0, 10/6 * pi, pi/3) + pi/3,
seq(0, 10/6 * pi, 2*pi/3) + 2*pi/3),
y2 = c(rep(4, 6), rep(2, 3)),
group = letters[c(1:6, (1:3) * 2)],
alpha = c(rep(1, 6), rep(0.4, 3))) |>
ggplot(aes(x1, y1)) +
geom_rect(aes(xmin = x1, xmax = x2, ymin = y1, ymax = y2, fill = group,
alpha = alpha),
color = "white", linewidth = 2) +
geom_textpath(data = data.frame(x1 = seq(0, 2 * pi, length = 300),
y1 = rep(0.5, 300),
label = rep(c("stats", "effects", "polar"), each = 100)),
aes(label = label), linetype = 0, size = 8,
upright = TRUE) +
geom_textpath(data = data.frame(x1 = seq(0, 2 * pi, length = 300),
y1 = rep(3, 300),
label = rep(c("density", "smooth", "unique", "organic",
"easy to use", "automatic"),
each = 50)),
aes(label = label), linetype = 0, size = 4.6, color = "white",
upright = TRUE) +
scale_y_continuous(limits = c(-5, 4)) +
scale_x_continuous(limits = c(0, 2*pi)) +
scale_fill_manual(values = c("deepskyblue3", "deepskyblue4",
"green3", "green4","tomato", "tomato2")) +
scale_alpha_identity() +
theme_void() +
theme(legend.position = "none")
p
That flip nicely to polar co-ordinates.
p + coord_polar()
coord_curvedpolarAnother function exported from this package is
coord_curvedpolar. This behaves identically to
coord_polar, except that the circumferential axis labels
are curved. For example:
clock <- function(x) {
hours <- c(rep(x[1] %% 12 + tail(x, 1) / 60, 2), 0, 3.5)
minutes <- c(rep(tail(x, 1)/5, 2), 0, 5)
ggplot(as.data.frame(rbind(hours, minutes)), aes(V1, V3)) +
geom_segment(aes(xend = V2, yend = V4),
linewidth = c(3, 2), lineend = "round") +
geom_point(x = 0, y = 0, size = 6) +
scale_x_continuous(limits = c(0, 12), breaks = 1:12,
label = as.roman) +
scale_y_continuous(limits = c(0, 6), expand = c(0, 0)) +
theme_void() +
theme(axis.text.x = element_text(size = 25, face = 2),
plot.margin = margin(20, 20, 20, 20))
}
clock(19:15) + coord_curvedpolar()
This can be useful to achieve a particular aesthetic effect (as
above), but can also be of practical utility when axis labels are long,
which can produce some problems in standard
coord_polar:
df <- data.frame(x = c("A long axis label", "Another long label",
"The longest label of all", "Yet another label"),
y = c(8, 6, 10, 4))
p <- ggplot(df, aes(x, y, fill = x)) +
geom_col(width = 0.5) +
scale_fill_brewer(type = "qual") +
theme(axis.text.x = element_text(size = 15),
legend.position = "none")
p + coord_curvedpolar()
Not every graphics device renders text equally well. In particular, the default Windows graphics device makes text look horrible, especially when placed on paths. To get the best looking results for raster graphics, we recommend the {ragg} package.
There are limitations inherent in the plotting of text elements in
ggplot due to the way that the underlying grid graphics
handles text. A text string is dealt with as a zero-width object, and
therefore the rotation and spacing of the letters making up the string
can only be dealt with by treating each letter separately.
It is important to realise that the letters are only rotated, and do not undergo any change in shape. Thus, for example, large text appearing on convex curves will not be deformed so that individual letters are narrower at the bottom and wider at the top. Doing so would require reinterpreting the letters as polygons, which would likely cause more problems than it would solve.
Other paths may have points of tight curvature, and setting an
offset / vjust for the text that is larger
than the distance to the focus point of that curve will produce odd
effects. The package tries to detect and warn the user when this
happens, and will suggest remedies.
The authors would like to thank Patrick Plenefisch for posting the Stackoverflow question that prompted them to develop this package, and for raising some important issues early in its development.
Of course this package wouldn’t be possible without the brilliant ggplot2 package.
Although we’re grateful to all the developers on the tidyverse team for
creating and maintaining such useful open-source software, we’d like to
give particular thanks to Claus
Wilke for also creating the excellent gridtext package from which
geomtextpath borrows, and Thomas Lin Pedersen, whose textshaping package was
integral to getting the mechanism working.