
You can install:
With ggDoE you’ll be able to generate common plots used in Design of Experiments with ggplot2.
The following plots are currently available:
The following datasets/designs are included in ggDoE as tibbles:
adapted_epitaxial: Adapted epitaxial layer experiment obtain from the book
“Experiments: Planning, Analysis, and Optimization, 2nd Edition”
original_epitaxial: Original epitaxial layer experiment obtain from the book
“Experiments: Planning, Analysis, and Optimization, 2nd Edition”
pulp_experiment: Reflectance Data, Pulp Experiment obtain from the book
“Experiments: Planning, Analysis, and Optimization, 2nd Edition”
girder_experiment: Girder experiment obtain from the book
“Experiments: Planning, Analysis, and Optimization, 2nd Edition”
aliased_design: D-efficient minimal aliasing design obtained from the article
“Efficient Designs With Minimal Aliasing by Bradley Jones and Christopher J. Nachtsheim”
If you want to cite this package in a scientific journal or in any other context, run the following code in your R console
Warning in citation("ggDoE"): could not determine year for 'ggDoE' from package
DESCRIPTION file
To cite package 'ggDoE' in publications use:
Toledo Luna J (????). _ggDoE: Modern Graphs for Design of Experiments
with 'ggplot2'_. R package version 0.8, <https://ggdoe.netlify.app>.
A BibTeX entry for LaTeX users is
@Manual{,
title = {ggDoE: Modern Graphs for Design of Experiments with 'ggplot2'},
author = {Jose {Toledo Luna}},
note = {R package version 0.8},
url = {https://ggdoe.netlify.app},
}
I welcome feedback, suggestions, issues, and contributions! Check out the CONTRIBUTING file for more details.
Correlation matrix plot to visualize the Alias matrix


Obtain the trace plot of the t-statistics after applying Boxcox transformation across a specified sequence of lambda values


data <- ToothGrowth
data$dose <- factor(data$dose,levels = c(0.5, 1, 2),
labels = c("D0.5", "D1", "D2"))
gg_boxplots(data,y = 'len',x = 'dose')
gg_boxplots(data,y = 'len',x = 'dose',
group_var = 'supp',
color_palette = 'viridis',
jitter_points = TRUE)
The default plots are 1-4



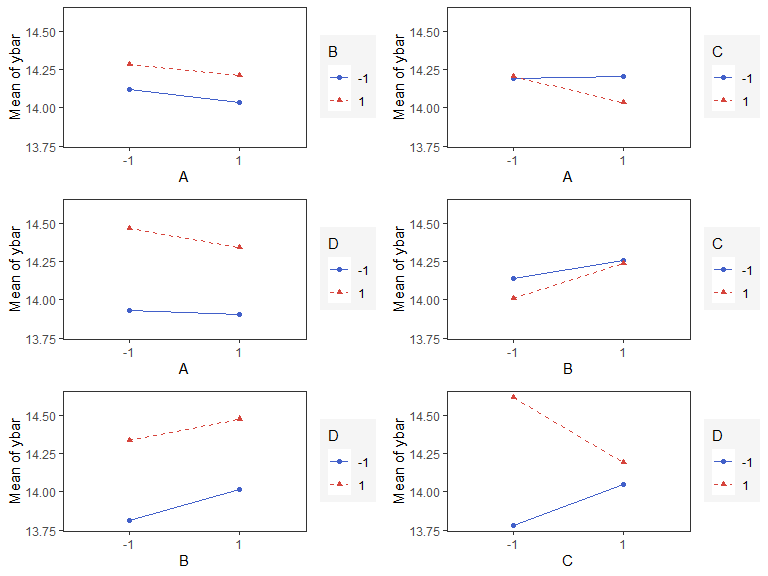
Interaction effects plot between two factors in a factorial design

interaction_effects(adapted_epitaxial,response = 'ybar',
exclude_vars = c('A','s2','lns2'),
n_columns=3)
Main effect plots for each factor in a factorial design
main_effects(original_epitaxial,
response='s2',
exclude_vars = c('A','ybar','lns2'),
color_palette = 'viridis',
n_columns=3)
contour plot(s) that display the fitted surface for an rsm object involving two or more numerical predictors

Pareto plot of effects with cutoff values for the margin of error (ME) and simultaneous margin of error (SME)


This function will output all two dimensional projections from a Latin hypercube design
