jlmerclusterperm

CRAN status jlmerclusterperm status badge R-CMD-check pkgcheck Codecov test coverage CRAN downloads

Julia GLM.jl and MixedModels.jl based implementation of the cluster-based permutation test for time series data, powered by JuliaConnectoR.

Installation and usage

Install the released version of jlmerclusterperm from CRAN:

install.packages("jlmerclusterperm")

Or install the development version from GitHub with:

# install.packages("remotes")
remotes::install_github("yjunechoe/jlmerclusterperm")

Using jlmerclusterperm requires a prior installation of the Julia programming language, which can be downloaded from either the official website or using the command line utility juliaup. Julia version >=1.8 is required and 1.9 or higher is preferred for the substantial speed improvements.

Before using functions from jlmerclusterperm, an initial setup is required via calling jlmerclusterperm_setup(). The very first call on a system will install necessary dependencies (this only happens once and takes around 10-15 minutes).

Subsequent calls to jlmerclusterperm_setup() incur a small overhead of around 30 seconds, plus slight delays for first-time function calls. You pay up front for start-up and warm-up costs and get blazingly-fast functions from the package.

# Both lines must be run at the start of each new session
library(jlmerclusterperm)
jlmerclusterperm_setup()

See the Get Started page on the package website for background and tutorials.

Quick tour of package functionalities

Wholesale CPA with clusterpermute()

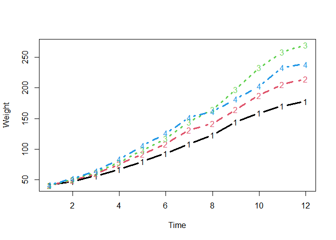
A time series data:

chickweights <- ChickWeight
chickweights$Time <- as.integer(factor(chickweights$Time))
matplot(
  tapply(chickweights$weight, chickweights[c("Time", "Diet")], mean),
  type = "b", lwd = 3, ylab = "Weight", xlab = "Time"
)

Preparing a specification object with make_jlmer_spec():

chickweights_spec <- make_jlmer_spec(
  formula = weight ~ 1 + Diet,
  data = chickweights,
  subject = "Chick", time = "Time"
)
chickweights_spec

Cluster-based permutation test with clusterpermute():

set_rng_state(123L)
clusterpermute(
  chickweights_spec,
  threshold = 2.5,
  nsim = 100
)

Including random effects:

chickweights_re_spec <- make_jlmer_spec(
  formula = weight ~ 1 + Diet + (1 | Chick),
  data = chickweights,
  subject = "Chick", time = "Time"
)
set_rng_state(123L)
clusterpermute(
  chickweights_re_spec,
  threshold = 2.5,
  nsim = 100
)$empirical_clusters

Piecemeal approach to CPA

Computing time-wise statistics of the observed data:

empirical_statistics <- compute_timewise_statistics(chickweights_spec)
matplot(t(empirical_statistics), type = "b", pch = 1, lwd = 3, ylab = "t-statistic")
abline(h = 2.5, lty = 3)

Identifying empirical clusters:

empirical_clusters <- extract_empirical_clusters(empirical_statistics, threshold = 2.5)
empirical_clusters

Simulating the null distribution:

set_rng_state(123L)
null_statistics <- permute_timewise_statistics(chickweights_spec, nsim = 100)
null_cluster_dists <- extract_null_cluster_dists(null_statistics, threshold = 2.5)
null_cluster_dists

Significance testing the cluster-mass statistic:

calculate_clusters_pvalues(empirical_clusters, null_cluster_dists, add1 = TRUE)

Iterating over a range of threshold values:

walk_threshold_steps(empirical_statistics, null_statistics, steps = c(2, 2.5, 3))

Acknowledgments

Citations

If you use jlmerclusterperm for cluster-based permutation test with mixed-effects models in your research, please cite one (or more) of the following as you see fit.

To cite jlmerclusterperm:

To cite the cluster-based permutation test:

To cite the Julia programming language:

To cite the GLM.jl and MixedModels.jl Julia libraries, consult their Zenodo pages: